AQUA-d: Veröffentlichung eines Registered Reports zum Einfluss grafischer Darstellungen von Lernverläufen auf die Interpretation durch Lehrkräfte in der „Zeitschrift für Erziehungswissenschaft“
Bericht, 20. März 2026
Eine aktuelle Studie von Erika Lunowa, Sarah Bez, Tom Rosman und Samuel Merk wurde von der „Zeitschrift für Erziehungswissenschaft“ im Rahmen einer Special Issue mit dem Titel „Open Science in der Bildungsforschung. Nächste Schritte auf dem Weg des Kulturwandels“ angenommen.
Beim formativen Assessment wird die Leistung der Schüler:innen gemessen, um den weiteren Unterrichtsverlauf gezielt darauf abzustimmen. Dabei ist es relevant, welche Bezugsnorm Lehrkräfte bei der Interpretation der Lernverläufe einnehmen: Nimmt die Lehrkraft bei der Bewertung der Lernverläufe die individuelle Bezugsnorm ein, kann dies die Motivation der Schüler:innen fördern. Die Einnahme der kriterialen Bezugsnorm liefert konkrete Hinweise darauf, welche Kompetenzen einzelner Schüler:innen noch gefördert werden müssen, da sie diese noch nicht erworben haben.
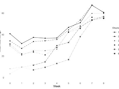
In der randomisierten (Mixed-Within-Between-Person) Originalstudie wurde deshalb mit angehenden Lehrkräften untersucht, ob die grafische Darstellung von Lernverläufen die eingenommene Bezugsnorm bei der Interpretation beeinflusst. In dieser konzeptuellen Replikation mit N = 157 Lehrkräften konnten die Autor:innen die in der Originalstudie gefundenen Effekte der grafischen Darstellung auf die eingenommene Bezugsnorm replizieren (2,38 ≤ OR ≤ 7,05; siehe Abbildung). Gleichzeitig wurde die interne, externe und Konstruktvalidität im Vergleich zur Originalstudie durch die Teilnahme von Lehrkräften, Designänderungen und die Präregistrierung aller Analysen gestärkt.
Die Ergebnisse zeigen, dass die grafische Darstellung die eingenommene Bezugsnorm signifikant beeinflusst. Während sich bei der individuellen und kriterialen Bezugsnorm kleine bis mittlere Effekte zeigten, war der Effekt bei der sozialen Bezugsnorm groß. Eine Umsetzung entsprechender Darstellungen in digitalen formativen Assessmentsystemen wäre vergleichsweise einfach und kostengünstig möglich.
Die Publikation ist open access verfügbar unter: https://doi.org/10.1007/s11618-026-01385-9
Lunowa, E., Bez, S., Rosman, T., & Merk, S. (2026). Effects of graphical representations on teachers’ interpretation of learning progress data. A registered replication. Zeitschrift für Erziehungswissenschaft. https://doi.org/10.1007/s11618-026-01385-9
Medien
Aktualisiert am 20. März 2026 von Erika Lunowa